Skip to primary content

Teaching Calculus

The pleasure lies not in discovering the truth, but in searching for it.

Teaching Calculus

Main menu

  • Home
  • Blog Guide
    • Before Calculus
    • The Why Series
    • Graphing Calculator Use
    • AP Exam Review
    • Unit 1 – Limits and Continuity
    • Unit 2 – Differentiation
    • Unit 3 – Differentiation
    • Unit 4 – Contextual Applications of Differentiation
    • Unit 5 – Analytical Applications of Differentiation
    • Unit 6 – Integration and Accumulation
    • Unit 7 – Differential Equations
    • Unit 8 – Applications of Integration
    • Unit 9 – Parametric equations, Polar Coordinates, and Vector-valued Functions
    • Unit 10 – Infinite Sequences and Series
    • Good Questions
    • Pedagogy
    • Odds and Ends
  • AP Calculus CED
    • Links to Posts by 2019 CED Units
      • 2019 CED Unit 1 – Limits and Continuity
      • 2019 CED – Unit 2: Differentiation: Definition and Fundamental Properties.
    • Essential Knowledge & Learning Objectives from 2019 CED
      • 2019 CED – Unit 3: Differentiation: Composite , Implicit, and Inverse Functions
      • 2019 CED Unit 4: Contextual Applications of the Derivative
      • 2019 CED Unit 5 Analytical Applications of Differentiation
      • 2019 CED Unit 6: Integration and Accumulation of Change
      • 2019 CED Unit 7: Differential Equations
      • 2019 CED Unit 8: Applications of Integration
      • 2019 CED Unit 9: Parametric Equations, Polar Coordinates, and Vector-Valued Functions
      • 2019 CED Unit 10: Infinite Sequences and Series
      • Unit 1: Limits and Continuity
      • Unit 2: Differentiation: Definition and Fundamental Properties
      • Unit 3 Differentiation: Composite, Implicit, and Inverse Functions
      • Unit 4: Contextual Applications of the Derivative
      • Type 5: Table and Riemann Sum Questions
      • Unit 6: Integration and Accumulation of Change
      • Unit 7: Differential Equations
      • Unit 8: Applications of Integration
      • Unit 9: Parametric Equations, Polar Coordinates, and Vector-Valued Functions
      • Unit 10: Infinite Sequences and Series
      • Pedagogy
  • Resources
    • Exam Index / Type Analysis
    • Activities and Explorations
    • Math Topics
      • Before you start
      • Calculators and Technology
      • Essays
      • The 2016 CED
      • Posts by Topic
        • Before Calculus
        • Limits and Continuity
        • Differential Calculus
        • Linear Motion
        • Integral Calculus
        • Differential Equations
        • Parametric, Vector, & Polar Equations
        • Sequences and Series
      • Resources from Posts
        • Reviewing for the AP Exams (Pre 2020)
        • Reviewing for the AP Calculus Exam 2020
      • Monthly
        • February
        • August
        • September
        • October
        • November
        • December
        • January
      • Math before calculus
      • Reading, writing, and using theorems and definitions
  • Presentations
    • Mass Insight
      • Reviewing for the AP Calculus Exams & Writing on the AP Calculus Exams–
      • Short Topics
      • The MVT and the FTC
    • Other Presentations
  • Videos
    • Limits and Continuity
    • About Theorems and Justifications
    • The Derivative
    • Computing Derivatives
    • Derivative Applications
    • Riemann Sums and the FTC
    • Integration
    • Techniques of Integration
    • Applications of Integration
    • Differential Equations
    • Power Series
    • Justify Your Answer
    • AP Exam Scoring
  • Website
    • Calculus
    • Winplot
    • CAS
    • Publications
    • Activities
    • Links
    • Our trip
  • Contact & About

Image navigation

← Previous Next →

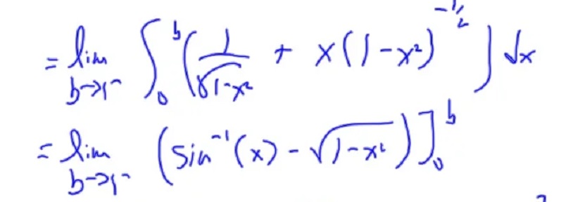
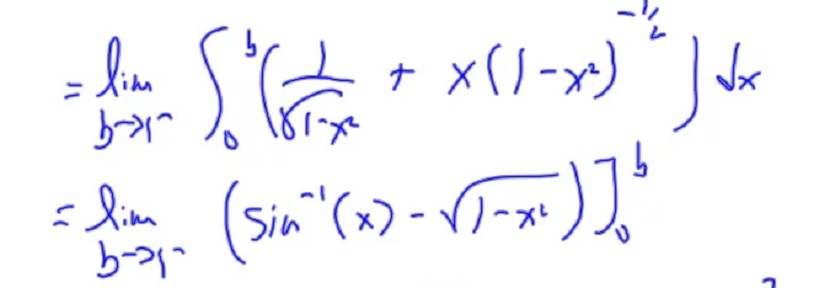
calc2

Published August 7, 2022 at 814 × 288 in calc2

Share this:

  • Share on Facebook (Opens in new window) Facebook
  • Share on X (Opens in new window) X
  • Share on Reddit (Opens in new window) Reddit
  • Share on Pinterest (Opens in new window) Pinterest
  • Share on Tumblr (Opens in new window) Tumblr
  • Share on LinkedIn (Opens in new window) LinkedIn
  • More
  • Print (Opens in new window) Print
  • Email a link to a friend (Opens in new window) Email
Like Loading...

Leave a comment Cancel reply

This site uses Akismet to reduce spam. Learn how your comment data is processed.

Website Powered by WordPress.com.
Privacy & Cookies: This site uses cookies. By continuing to use this website, you agree to their use.
To find out more, including how to control cookies, see here: Cookie Policy
  • Comment
  • Subscribe Subscribed
    • Teaching Calculus
    • Join 527 other subscribers
    • Already have a WordPress.com account? Log in now.
    • Teaching Calculus
    • Subscribe Subscribed
    • Sign up
    • Log in
    • Copy shortlink
    • Report this content
    • View post in Reader
    • Manage subscriptions
    • Collapse this bar
%d